1.1 齿轮模块实例的创建
根据特征的分类和特征的分解原则,将齿轮分解为如下特征:(1)形状特征
齿槽特征:齿槽特征是由齿槽曲线生成齿槽曲面,再用齿槽切割齿轮胚体,用 Subtract 命令作布尔减运算生成,如图 3-3 所示。

式中

在 UG NX 软件中,通过当前工作坐标系创建渐开线的方程式为:
式中
轴孔特征:它是与传动轴配合的特征。该特征既包括与传动轴配合的尺寸参数,又包括与键配合的尺寸参数,如图 3-4 所示特征Ⅱ。结构部分的特征:确定了分度圆、齿顶圆、齿根圆、齿宽等主要尺寸后,还需要进一步确定轮缘、轮辐和轮毂等的结构型式和尺寸。基准特征:齿轮的基准特征是建立齿轮的过程中用到的基准点、基准轴和基准面。这些特征虽然不是齿轮实体特征的组成部分,但它们是齿轮实体建模过程中必不可少的部分,对齿轮的建模起着重要的作用。该特征是所有建模过程中必须要用到的。
(2)材料特征材料特征主要描述材料的类型和性能、材料的热处理等信息,特征概念较为宽广。齿轮建模主要考虑的是形状特征,其材料特征在建模这一块并不重要。
(3)精度特征
齿轮的一些尺寸精度或形位精度在加工和装配时都有比较严格的要求。在允许的范围内属于合格产品,否则被视为不合格或废品。在传统的设计中,精度只是作为一项附加的要求表达在二维图纸上,而在基于特征的设计中,精度是以特殊的形式存在于实体中。这时的模型已经不仅仅是简单的几何图形,它已成为几何图形与工程语义的集合体。齿轮的尺寸公差、几何公差以及表面粗糙度就是齿轮精度特征。
按照渐开线圆柱齿轮精度标准 JB179-83 的规定,齿轮的制造精度分为 12级。其中 1 级最高,12 级最低。一般机械中常用的齿轮精度等级为 6~8 级。齿轮精度等级应根据齿轮传动的用途、使用条件、传递功率、圆周速度等技术要求来决定,主要是根据齿轮圆周速度的大小来选择,参见表 3-1。

(4)齿轮特征模型参数化的实现
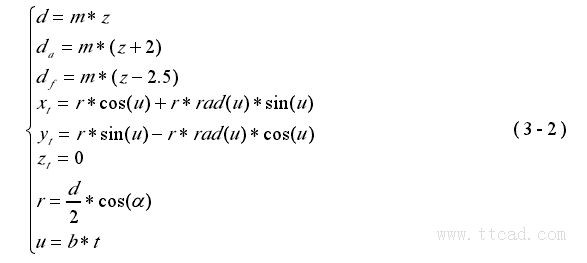
要实现轮齿完全的参数化驱动,就要运用 UG NX 中的表达式和电子表格。表达式是定义特征的算术或条件公式语句[48]。利用表达式编辑器(ExpressionsEditor)可以为在齿轮中的表达式定义公式字符串。通过编辑公式,可以编辑用户的模型参数。也可以利用表达式来参数化控制在一个零件的特征间的关系。电子表格是 UG NX 用于参数化建模的高级表达式编辑器,为 UG NX 与 Excel 之间提供一个集成接口,以便用表格驱动的方式实现关联性设计。建模电子表格可实现较多的功能,如提取和修改表达式、属性;利用目标搜寻与分析方法求若干几何参数的最优解;利用部件族功能快速设计具有相同结构而不同尺寸的系列零件。因此对齿轮建模,首先执行工具/表达式命令,在表达式对话框中设置齿轮建模过程中用到的参数,包括 m (模数)、z (齿数)、α(压力角)、b(展开角)等,按式(3-2)输入公式,见图 3-5,然后按规定步骤完成建模。
执行工具/电子表格命令,打开 Excel,选择抽取表达式命令,则模型中的表达式被抽取到电子表格中,见图 3-6,修改 Excel 表中的 m、z 等,即可生成结构相同尺寸不同的齿轮,扩充实例库内容。
1.2 传动轴模块实例的创建
传动轴是减速机的核心零件之一,其上安装有齿轮,起传递运动和扭矩的作用。输入轴与外部原动机相联,接受外部传递过来的扭矩及运动。输出轴为转矩输出轴,通过齿轮配合将小扭矩、高转速的输入转化为大扭矩、低转速的输出,输出轴与外部工作机相联。(1)形状特征
根据功能不同,将传动轴分为输入轴、中间轴和输出轴。根据特征的分解原则,可将传动轴的形状特征按功能分解如下。如图 3-7 所示为输出轴。

1;所有标注为智造资料网zl.fbzzw.cn的内容均为本站所有,版权均属本站所有,若您需要引用、转载,必须注明来源及原文链接即可,如涉及大面积转载,请来信告知,获取《授权协议》。
2;本网站图片,文字之类版权申明,因为网站可以由注册用户自行上传图片或文字,本网站无法鉴别所上传图片或文字的知识版权,如果侵犯,请及时通知我们,本网站将在第一时间及时删除,相关侵权责任均由相应上传用户自行承担。
[complaint:内容投诉]
智造资料网打造智能制造3D图纸下载,在线视频,软件下载,在线问答综合平台 » 用UG软件画齿轮减速器建模方法

