螺栓组设计与受力分析(图文教程)

    螺栓组联接的设计步骤:

1)螺栓组结构设计

2)螺栓受力分析

3)确定螺栓直径

4)校核螺栓组联接接合面的工作能力

5)校核螺栓所需的预紧力是否合适

    确定螺栓的公称直径后,螺栓的类型,长度,精度以及相应的螺母,垫圈等结构尺寸,可根据底板的厚度,螺栓在立柱上的固定方法及防松装置等全面考虑后定出。

螺栓组设计与受力分析(图文教程),螺栓组设计与受力分析,螺栓,教程,第1张螺栓组设计与受力分析(图文教程),螺栓组设计与受力分析,螺栓,教程,第1张1. 螺栓组联接的结构设计

    螺栓组联接结构设计的主要目的,在于合理地确定联接接合面的几何形状和螺栓的布置形式,力求各螺栓和联接接合面间受力均匀,便于加工和装配。为此,设计时应综合考虑以下几方面的问题:

1)联接接合面的几何形状通常都设计成轴对称的简单几何形状,如圆形,环形,矩形,框形,三角形等。这样不但便于加工制造,而且便于对称布置螺栓,使螺栓组的对称中心和联接接合面的形心重合,从而保证接合面受力比较均匀。

2)螺栓的布置应使各螺栓的受力合理。对于铰制孔用螺栓联接,不要在平行于工作载荷的方向上成排地布置八个以上的螺栓,以免载荷分布过于不均。当螺栓联接承受弯矩或转矩时,应使螺栓的位置适当靠近联接接合面的边缘,以减小螺栓的受力(下图)。如果同时承受轴向载荷和较大的横向载荷时,应采用销,套筒,键等抗剪零件来承受横向载荷,以减小螺栓的预紧力及其结构尺寸。

螺栓组设计与受力分析(图文教程),螺栓组设计与受力分析,螺栓,教程,第3张

           接合面受弯矩或转矩时螺栓的布置

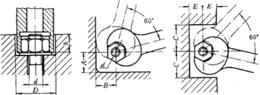
3)螺栓排列应有合理的间距,边距。布置螺栓时,各螺栓轴线间以及螺栓轴线和机体壁间的最小距离,应根据扳手所需活动空间的大小来决定。扳手空间的尺寸(下图)可查阅有关标准。对于压力容器等紧密性要求较高的重要联接,螺栓的间距t0不得大于下表所推荐的数值。

螺栓组设计与受力分析(图文教程),螺栓组设计与受力分析,螺栓,教程,第4张

           扳手空间尺寸

    螺栓间距t0

螺栓组设计与受力分析(图文教程),螺栓组设计与受力分析,螺栓,教程,第5张

    注:表中d为螺纹公称直径。

4)分布在同一圆周上的螺栓数目,应取成4,6,8等偶数,以便在圆周上钻孔时的分度和画线。同一螺栓组中螺栓的材料,直径和长度均应相同。

5)避免螺栓承受附加的弯曲载荷。除了要在结构上设法保证载荷不偏心外,还应在工艺上保证被联接件,螺母和螺栓头部的支承面平整,并与螺栓轴线相垂直。对于在铸,锻件等的粗糙表面上应安装螺栓时,应制成凸台或沉头座(下图1)。当支承面为倾斜表面时,应采用斜面垫圈(下图2)等。

螺栓组设计与受力分析(图文教程),螺栓组设计与受力分析,螺栓,教程,第6张

图1 凸台与沉头座的应用      图2 斜面垫圈的应用

螺栓组设计与受力分析(图文教程),螺栓组设计与受力分析,螺栓,教程,第1张螺栓组设计与受力分析(图文教程),螺栓组设计与受力分析,螺栓,教程,第1张2. 螺栓组联接的受力分析
1).受横向载荷的螺栓组联接
2).受转矩的螺栓组联接
3). 受轴向载荷的螺栓组联接
4).受倾覆力矩的螺栓组联接

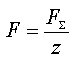
    进行螺栓组联接受力分析的目的是,根据联接的结构和受载情况,求出受力最大的螺栓及其所受的力,以便进行螺栓联接的强度计算。

    为了简化计算,在分析螺栓组联接的受力时,假设所有螺栓的材料,直径,长度和预紧力均相同;螺栓组的对称中心与联接接合面的形心重合;受载后联接接合面仍保持为平面。下面针对几种典型的受载情况,分别加以讨论。

螺栓组设计与受力分析(图文教程),螺栓组设计与受力分析,螺栓,教程,第1张1).受横向载荷的螺栓组联接                                                

    图所示为一由四个螺栓组成的受横向载荷的螺栓组联接。横向载荷的作用线与螺栓轴线垂直,并通过螺栓组的对称中心。当采用螺栓杆与孔壁间留有间隙的普通螺栓联接时(图a)。靠联接预紧后在接合面间产生的摩擦力来抵抗横向载荷;当采用铰制孔用螺栓联接时(图b),靠螺栓杆受剪切和挤压来抵抗横向载荷。虽然两者的传力方式不同,但计算时可近似地认为,在横向总载荷F∑的作用下,各螺栓所承担的工作载荷是均等的。因此,对于铰制孔用螺栓联接,每个螺栓所受的横向工作剪力为

螺栓组设计与受力分析(图文教程),螺栓组设计与受力分析,螺栓,教程,第10张 

    式中z为螺栓联接数目。

   对于普通螺栓联接,应保证联接预紧后,接合面间所产生的最大摩擦力必须大于或等于横向载荷。

    假设各螺栓所需要的预紧力均为Qp,螺栓数目为z,则其平衡条件为

螺栓组设计与受力分析(图文教程),螺栓组设计与受力分析,螺栓,教程,第11张     或 螺栓组设计与受力分析(图文教程),螺栓组设计与受力分析,螺栓,教程,第12张     

螺栓组设计与受力分析(图文教程),螺栓组设计与受力分析,螺栓,教程,第13张

图:受横向载荷的螺栓组联接

    式中:

f——接合面间的摩擦系数,见下表;

i——接合面数(图中,i=2);

Ks——防滑系数,Ks=1.1~1.3。

由式(5-24)求得预紧力Qp,然后按式(5-14)校核螺栓的强度。

    联接接合面间的摩擦系数

被联接件

接合面的表面状态

摩擦系数f

钢或铸铁零件

干燥的加工表面

0.10-0.16

有油的加工表面

0.06-0.10

钢结构

轧制表面,钢丝刷清理浮锈

0.30-0.35

涂富锌漆

0.35-0.40

喷砂处理

0.45-0.55

钢铁对砖料,混凝土或木材

干燥表面

0.40-0.45

螺栓组设计与受力分析(图文教程),螺栓组设计与受力分析,螺栓,教程,第1张2).受转矩的螺栓组联接                                                

    如下图所示,转矩T作用在联接接合面内,在转拒T的作用下,底板将绕通过螺栓组对称中心O并与接合面相垂直的轴线转动。为了防止底板转动,可以采用普通螺栓联接,也可以采用铰制孔用螺栓联接。其传力方式和受横向载荷的螺栓组联接相同。

螺栓组设计与受力分析(图文教程),螺栓组设计与受力分析,螺栓,教程,第15张螺栓组设计与受力分析(图文教程),螺栓组设计与受力分析,螺栓,教程,第16张

图:  受转矩的螺栓组联接

    采用普通螺栓时,靠联接领紧后在接合面间产生的摩擦力矩来抵抗转矩T。假设各螺栓的预紧程度相同,即各螺栓的预紧力均为Qp,则各螺栓联接处产生的摩擦力均相等,并假设此摩擦力集中作用在螺栓中心处。为阻止接合面发生相对转动,各摩擦力应与各该螺栓的轴线到

螺栓组设计与受力分析(图文教程),螺栓组设计与受力分析,螺栓,教程,第17张

    由上式可得各螺栓所需的预紧力为

螺栓组设计与受力分析(图文教程),螺栓组设计与受力分析,螺栓,教程,第18张     

    式中:f——接合面的摩擦系数,见表;

    ri——第i个螺栓的轴线到螺栓组对称中心O的距离;

    z ——螺栓数目;

   Ks ——防滑系数,同前。

    由上式求得预紧力Qp,然后校核螺栓的强度。

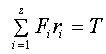
    采用铰制孔用螺栓时,在转矩T的作用下,各螺栓受到剪切和挤压作用,各螺栓所受的横向工作剪力和各该螺栓轴线到螺栓组对称中心O的连线(即力臂r。)相垂直(图b)。为了求得各螺栓的工作剪力的大小,计算时假定底板为刚体,受载后接合面仍保持为平面。则各螺栓的剪切变形量与各该螺栓轴线到螺栓组对称中心O的距离成正比。即距螺栓组对称中心O越远,螺栓的剪切变形量越大。如果各螺栓的剪切刚度相同,则螺栓的剪切变形量越大时,其所受的工作剪力也越大。如图b所示,用ri、rmax分别表示第i个螺栓和受力最大螺栓的轴线到螺栓组对称中心O的距离;Fi、Fmax。分别表示第i个螺栓和受力最大螺栓的工作剪力,则得

螺栓组设计与受力分析(图文教程),螺栓组设计与受力分析,螺栓,教程,第19张      

    根据作用在底板上的力矩平衡的条件得

螺栓组设计与受力分析(图文教程),螺栓组设计与受力分析,螺栓,教程,第20张

即   螺栓组设计与受力分析(图文教程),螺栓组设计与受力分析,螺栓,教程,第21张.     

    联解,可求得受力最大的螺栓的工作剪力为

螺栓组设计与受力分析(图文教程),螺栓组设计与受力分析,螺栓,教程,第22张       

    图所示的凸缘联轴器,是承受转矩的螺栓组联接的典型部件。各螺栓的受力根据

r1=r2=…=rz的关系以及螺栓联接的类型,分别代人即可求得。

螺栓组设计与受力分析(图文教程),螺栓组设计与受力分析,螺栓,教程,第1张3).受轴向载荷的螺栓组联接                                                       

    下图为一受轴向总载荷FS的汽缸盖螺栓组联接。FS的作用线与螺栓轴线平行,并通过螺栓组的对称中心O。计算时,认为各螺栓平均受载,则每个螺栓所受的轴向工作载荷为

螺栓组设计与受力分析(图文教程),螺栓组设计与受力分析,螺栓,教程,第24张

螺栓组设计与受力分析(图文教程),螺栓组设计与受力分析,螺栓,教程,第25张

图:受轴向载荷的螺栓组联接

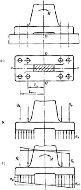
螺栓组设计与受力分析(图文教程),螺栓组设计与受力分析,螺栓,教程,第1张4).受倾覆力矩的螺栓组联接                                       

      下图a为一受倾覆力矩的底板螺栓组联接。倾覆力矩M作用在通过x-x轴并垂直于联接接合面的对称平面内。底板承受倾覆力矩前,由于螺栓已拧紧,螺栓受预紧力Qp,有均匀的伸长;地基在各螺栓的Qp作用下.有均匀的压缩,如图b所示。当底板受到倾覆力矩作用后,它绕轴线O—O倾转一个角度,假定仍保持为平面。此时,在轴线O-O左侧,地基被放松,螺栓被进一步拉伸,在右侧,螺栓被放松,地基被进一步压缩。底板的受力情况如图c所示。

螺栓组设计与受力分析(图文教程),螺栓组设计与受力分析,螺栓,教程,第27张

图:受倾覆力矩的螺栓组联接

    联接接合面材料的许用挤压应力[σ]p,可查下表。

表:联接接合面材料的许用挤压应力[σ]p

螺栓组设计与受力分析(图文教程),螺栓组设计与受力分析,螺栓,教程,第28张

注:

l)σs为材料屈服权限,MPa; σB为材料强度极限,MPa。

2)当联接接合面的材料不同时,应按强度较弱者选取。

3)联接承受载荷时,[σ]p应取表中较大值;承受变载荷时,则应取较小值

    计算受倾覆力矩的螺栓组的强度时,首先由预紧力Qp、最大工作载荷Fmax确定受力最大的螺栓的总拉力Q,得

    螺栓组设计与受力分析(图文教程),螺栓组设计与受力分析,螺栓,教程,第29张     

    然后进行强度计算。

螺栓组设计与受力分析(图文教程),螺栓组设计与受力分析,螺栓,教程,第1张确定螺栓直径                                       

     首先选择螺栓材料,确定其性能等级,查出其材料的屈服极限,并查出安全系数,计算出螺栓材料的许用应力[σ]= σs/S。

   根据以下公式计算螺纹小径d1:

         螺栓组设计与受力分析(图文教程),螺栓组设计与受力分析,螺栓,教程,第31张

   最后按螺纹标准,选用螺纹公称直径。

螺栓组设计与受力分析(图文教程),螺栓组设计与受力分析,螺栓,教程,第1张螺纹联接件的材料

    适合制造螺纹联接件的材料品种很多,常用材料有低碳钢Q215、10号钢和中碳钢Q235、35、45号钢。对于承受冲击、振动或变载荷的螺纹联接件,可采用低合金钢、合金钢,如15Cr、40Cr、30CrMnsi等。对于特殊用途(如防锈蚀、防磁、导电或耐高温等)的螺纹联接件,可采用特种钢或铜合金、铝合金等。

表:螺栓的性能等级(摘自 GB 3098.1-82)

螺栓组设计与受力分析(图文教程),螺栓组设计与受力分析,螺栓,教程,第33张

注:规定性能等级的螺栓、螺母在图纸中只标出性能等级,不应标出材料牌号。

表:螺母的性能等级(摘自GB 3098.2-82)

螺栓组设计与受力分析(图文教程),螺栓组设计与受力分析,螺栓,教程,第34张

螺栓组设计与受力分析(图文教程),螺栓组设计与受力分析,螺栓,教程,第1张4.校核螺栓组联接接合面的工作能力,是根据实际情况,对螺栓进行强度校核。

 

螺栓组设计与受力分析(图文教程),螺栓组设计与受力分析,螺栓,教程,第1张5.校核螺栓所需的预紧力。采用公式为:

碳素钢螺栓  

螺栓组设计与受力分析(图文教程),螺栓组设计与受力分析,螺栓,教程,第37张

合金钢螺栓  

螺栓组设计与受力分析(图文教程),螺栓组设计与受力分析,螺栓,教程,第38张

式中:

ss——螺栓材料的屈服极限;

A1——螺栓危险截面的面积。

螺栓组设计与受力分析(图文教程),螺栓组设计与受力分析,螺栓,教程,第1张松螺纹联接强度计算

    拉伸强度条件为:

螺栓组设计与受力分析(图文教程),螺栓组设计与受力分析,螺栓,教程,第40张

式中:F--螺栓工作载荷,N;

      d1--螺栓危险截面的直径,mm;

      [σ]--螺栓材料的许用拉应力,MPa.

螺栓组设计与受力分析(图文教程),螺栓组设计与受力分析,螺栓,教程,第1张螺栓组设计与受力分析(图文教程),螺栓组设计与受力分析,螺栓,教程,第1张紧螺栓联接强度计算
螺栓组设计与受力分析(图文教程),螺栓组设计与受力分析,螺栓,教程,第1张1)仅承受预紧力的紧螺栓联接

拉伸强度条件为:

螺栓组设计与受力分析(图文教程),螺栓组设计与受力分析,螺栓,教程,第44张

式中:Qp—螺栓所受预紧力,N 。

      其余符号意义同前。   

螺栓组设计与受力分析(图文教程),螺栓组设计与受力分析,螺栓,教程,第1张2)承受预紧力和工作拉力的紧螺栓联接
螺栓组设计与受力分析(图文教程),螺栓组设计与受力分析,螺栓,教程,第1张①拉伸强度条件为:

螺栓组设计与受力分析(图文教程),螺栓组设计与受力分析,螺栓,教程,第47张

式中:Q—螺栓总拉力,N 。

      其余符号意义同前。

  螺栓总拉力的计算:

  Q=Qp+[Cb/(Cb+Cm)]·F

  式中:Cb/(Cb+Cm)称为螺栓的相对刚度,一般设计时,可按下表推荐的数据选取。

螺栓的相对刚度Cb/(Cb+Cm)

被联接钢板间所用垫片类别

Cb/(Cb+Cm)

金属垫片(或无垫片)

0.2~0.3

皮革垫片

0.7

铜皮石棉垫片

0.8

橡胶垫片

0.9

螺栓组设计与受力分析(图文教程),螺栓组设计与受力分析,螺栓,教程,第1张②疲劳强度计算

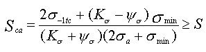
对于受轴向变载荷的重要联接,应对螺栓的疲劳强度作精确校核,计算其最大应力计算安全系数:

螺栓组设计与受力分析(图文教程),螺栓组设计与受力分析,螺栓,教程,第49张

   式中:

s-1tc  ——螺栓材料的对称循环拉压疲劳极限,MPa , s-1tc 值见表
螺栓组设计与受力分析(图文教程),螺栓组设计与受力分析,螺栓,教程,第50张——试件的材料特性,即循环应力中平均应力的折算系数,对于碳素钢,
        螺栓组设计与受力分析(图文教程),螺栓组设计与受力分析,螺栓,教程,第50张=0.1—0.2,对于合金钢,  螺栓组设计与受力分析(图文教程),螺栓组设计与受力分析,螺栓,教程,第50张=0.2—0.3; 
螺栓组设计与受力分析(图文教程),螺栓组设计与受力分析,螺栓,教程,第53张—拉压疲劳强度综合影响系数,如忽略加工方法的影响,则Kσ=kσ/eσ,Kσ此处为有效应力集中系数,见表 eσ 为尺寸系数,见附表;

  S  ——安全系数。

螺栓组设计与受力分析(图文教程),螺栓组设计与受力分析,螺栓,教程,第1张螺纹联接件常用材料的疲劳极限(摘自GB38-76)

材料

疲劳极限(MPa)

s-1

s-1tc

10
Q215
35
45
40Cr

160~220
170~220
220~300
250~340
320~440

120~150
120~160
170~220
190~250
240~340

螺栓组设计与受力分析(图文教程),螺栓组设计与受力分析,螺栓,教程,第1张螺纹联接的安全系数 S

受载类型

静载荷

变载荷

松螺栓联接

1.2~1.7















 

M6~M16

M16~M30

M30~M60

 

M6~M16

M16~M30

M30~M60

碳钢

5~4

4~2.5

2.5~2

碳钢

12.5~8.5

8.5

8.5~12.5

合金钢

5.7~5

5~3.4

3.4~3

合金钢

10~6.8

6.8

6.8~10

力的计算

1.2~1.5

1.2~1.5
(Sa=2.5~4)

铰制孔用
螺栓联接

钢:Sr=2.5,Sp=1.25
铸铁:  Sp=2.0~2.5

钢:Sr=3.5~5,Sp=1.5
铸铁:Sp=2.5~3.0

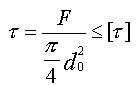
螺栓组设计与受力分析(图文教程),螺栓组设计与受力分析,螺栓,教程,第1张3)承受工作剪力的紧螺栓联接

    螺栓杆与孔壁的挤压强度条件为

螺栓组设计与受力分析(图文教程),螺栓组设计与受力分析,螺栓,教程,第57张

螺栓杆的剪切强度条件为

螺栓组设计与受力分析(图文教程),螺栓组设计与受力分析,螺栓,教程,第58张

式中:F   ——螺栓所受的工作剪力,N;

     d0  ——螺栓剪切面的直径(可取为螺栓孔的直径),mm;

     Lmin ——螺栓杆与孔壁挤压面的最小高度,mm,设计时应使Lmin螺栓组设计与受力分析(图文教程),螺栓组设计与受力分析,螺栓,教程,第59张1.25d0;

     [σ]p——螺栓或孔壁材料的许用挤压应力,MPa ;

     [τ] ——螺栓材料的许用切应力,MPa 。

螺栓组设计与受力分析(图文教程),螺栓组设计与受力分析,螺栓,教程,第60张   

    承受工作剪力的紧螺栓联接


螺栓组设计与受力分析(图文教程),螺栓组设计与受力分析,螺栓,教程,第1张有效应力集中系数

免责声明:
1;所有标注为智造资料网zl.fbzzw.cn的内容均为本站所有,版权均属本站所有,若您需要引用、转载,必须注明来源及原文链接即可,如涉及大面积转载,请来信告知,获取《授权协议》。
2;本网站图片,文字之类版权申明,因为网站可以由注册用户自行上传图片或文字,本网站无法鉴别所上传图片或文字的知识版权,如果侵犯,请及时通知我们,本网站将在第一时间及时删除,相关侵权责任均由相应上传用户自行承担。
[complaint:内容投诉]
智造资料网打造智能制造3D图纸下载,在线视频,软件下载,在线问答综合平台 » 螺栓组设计与受力分析(图文教程)