链传动设计及计算(2)(图文教程)

滚子链链轮的结构设计

1.链轮的齿形

    链轮齿形必须保证链节能平稳自如地进入和退出啮合,尽量减少啮合时的链节的冲击和接触应力,而且要易于加工。

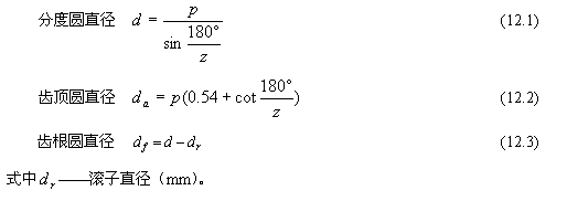
    常用的链轮端面齿形见图6。它是由三段圆弧aa 、ab、cd和一段直线bc构成,简称三圆弧-直线齿形。齿形用标准刀具加工,在链轮工作图上不必绘制端面齿形,只需在图上注明"齿形按3RGB1244-85规定制造"即可,但应绘制链轮的轴面齿形,见图7,其尺寸参阅有关设计手册。工作图中应注明节距p 、齿数z 、分度圆直径d (链轮上链的各滚子中心所在的圆)、齿顶圆直径da、齿根圆直径df 。其计算公式为

链传动设计及计算(2)(图文教程),链传动设计及计算(2),计算,教程,设计,第1张

链传动设计及计算(2)(图文教程),链传动设计及计算(2),计算,教程,设计,第2张链传动设计及计算(2)(图文教程),链传动设计及计算(2),计算,教程,设计,第3张

2.链轮结构

    图8为几种常用的链轮结构。小直径链轮一般做成整体式(图6.8a),中等直径链轮多做成辐板式,为便于搬运、装卡和减重,在辐板上开孔(图6.8b),大直径链轮可做成组合式(图6.8c,d),此时齿圈与轮芯可用不同材料制造。

链传动设计及计算(2)(图文教程),链传动设计及计算(2),计算,教程,设计,第4张

3.链轮材料

    链轮材料应保证轮齿有足够的强度和耐磨性,故链轮齿面一般都经过热处理,使之达到一定硬度。常用材料见表2。

链传动设计及计算(2)(图文教程),链传动设计及计算(2),计算,教程,设计,第5张

免责声明:
1;所有标注为智造资料网zl.fbzzw.cn的内容均为本站所有,版权均属本站所有,若您需要引用、转载,必须注明来源及原文链接即可,如涉及大面积转载,请来信告知,获取《授权协议》。
2;本网站图片,文字之类版权申明,因为网站可以由注册用户自行上传图片或文字,本网站无法鉴别所上传图片或文字的知识版权,如果侵犯,请及时通知我们,本网站将在第一时间及时删除,相关侵权责任均由相应上传用户自行承担。
[complaint:内容投诉]
智造资料网打造智能制造3D图纸下载,在线视频,软件下载,在线问答综合平台 » 链传动设计及计算(2)(图文教程)