一、拉深过程中变形毛坯各部分的应力与应变状态

1.平面凸缘部分 —— 主要变形区
2.凹模圆角区 —— 过渡区
3.筒壁部分 —— 传力区
4.凸模圆角部分 —— 过渡区
5.圆筒底部分 —— 小变形区
二.、拉深变形过程的力学分析
1.凸缘变形区的应力分析
(1)拉深中某时刻变形区应力分布
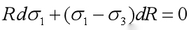
根据微元体的受力平衡可得

因为

取

并略去高阶无穷小,得:

塑性变形时需满足的塑性方程为 :

由上述两式,并考虑边界条件(当

时,

),经数学推导就可以求出径向拉应力,和切向压应力的大小为:


在变形区的内边缘(即

处)径向拉应力最大,其值为:

在变形区外边缘处压应力最大,其值为:






我们是知识搬运工,我们是技术传播者!
东莞潇洒职业培训学校开设课程有:CNC数控编程、塑胶模具设计,压铸模具设计、冲压模具设计, Solidworks/pro/E产品设计、AutoformR7工艺分析,非标自动化设计、PLC编程、文职、电商、平面设计、新媒体等培训课程,潇洒职业培训学校线下、线上、随到随学等学习方式,上班学习两不误,欢迎预约免费试学!
联系电话:18029183455(微信同号)QQ:2799669782
线上免费试学: xsmj.ke.qq.com
免责声明:
1;所有标注为智造资料网zl.fbzzw.cn的内容均为本站所有,版权均属本站所有,若您需要引用、转载,必须注明来源及原文链接即可,如涉及大面积转载,请来信告知,获取《授权协议》。
2;本网站图片,文字之类版权申明,因为网站可以由注册用户自行上传图片或文字,本网站无法鉴别所上传图片或文字的知识版权,如果侵犯,请及时通知我们,本网站将在第一时间及时删除,相关侵权责任均由相应上传用户自行承担。
[complaint:内容投诉]
智造资料网打造智能制造3D图纸下载,在线视频,软件下载,在线问答综合平台 » 拉伸模具:拉深过程中变形应考虑,毛坯各部分的应力与应变状态 ... ...
1;所有标注为智造资料网zl.fbzzw.cn的内容均为本站所有,版权均属本站所有,若您需要引用、转载,必须注明来源及原文链接即可,如涉及大面积转载,请来信告知,获取《授权协议》。
2;本网站图片,文字之类版权申明,因为网站可以由注册用户自行上传图片或文字,本网站无法鉴别所上传图片或文字的知识版权,如果侵犯,请及时通知我们,本网站将在第一时间及时删除,相关侵权责任均由相应上传用户自行承担。
[complaint:内容投诉]
智造资料网打造智能制造3D图纸下载,在线视频,软件下载,在线问答综合平台 » 拉伸模具:拉深过程中变形应考虑,毛坯各部分的应力与应变状态 ... ...

